La ratasàvia
La llei de la gravetat
Tema: La llei de la gravetat • Edat: 6-8 anys
Generat el 3 de juny del 2025
Quan saltes, sempre tornes a tocar el terra. Has pensat mai per què passa això? La resposta és la gravetat. La gravetat és una força que fa que tot el que té massa s’atreu. Aquesta força és la mateixa que manté la Lluna girant al voltant de la Terra i els planetes al voltant del Sol.
Què és la gravetat?
La gravetat és una de les forces més importants de la natura. Tots els objectes amb massa s’atreuen entre si. Per exemple, la Terra ens atrau i per això no sortim volant. Aquesta força també fa que les coses caiguin quan les deixem anar. Isaac Newton va ser el primer científic que va explicar com funciona la gravetat. Va descobrir que la força de la gravetat depèn de la massa dels objectes i de la distància entre ells.
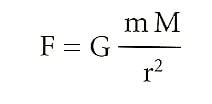
Com funciona la llei de la gravetat?

La llei de la gravetat diu que com més gran és la massa d’un objecte, més forta és l’atracció. També diu que com més lluny estan dos objectes, més feble és la força entre ells. Per això, la Terra, que és molt gran, ens manté a tots enganxats al seu voltant. I per això, la Lluna no cau a la Terra, sinó que gira al seu voltant. Aquesta llei funciona a tot arreu: a casa, al pati i fins i tot a l’espai.
Descobrint la gravetat cada dia

La gravetat fa que les pilotes caiguin, que l’aigua baixi per la muntanya i que els astronautes tornin a la Terra. No importa si un objecte és gran o petit: tots cauen igual si no hi ha aire que els freni. Aquesta força invisible ens ajuda a viure, a caminar i a jugar. Gràcies a la gravetat, el nostre món funciona com el coneixem!
Sabies que...?
- 1.
Isaac Newton no va rebre una poma al cap, però va descobrir per què sempre tornem a terra quan saltem.
- 2.
La força de gravetat depèn de la massa dels objectes i de la distància entre ells, però no importa la mida de l'objecte que cau.
- 3.
La gravetat és més forta quan estem a la superfície de la Terra i més feble quan pugem o ens allunyem del centre.
- 4.
La gravetat fa que la Lluna caigui cap a la Terra però no toca mai el terra perquè gira al seu voltant, com un joc de seguir.
Exercicis de comprensió lectora
1.
Per què la gravetat és important per a nosaltres?
Ens fa desaparèixer
Ens fa volar sense ales
Ens ajuda a viure, caminar i jugar
Ens fa saltar molt alt
2.
Què va descobrir Isaac Newton sobre la gravetat?
Que fa que tot voli
Que només funciona a la Terra
Que depèn de la massa i la distància
Que fa que les coses siguin lleugeres
3.
Què fa la gravetat quan saltes?
Et fa volar cap amunt
Et fa tornar a tocar el terra
Et fa saltar més alt
Et fa desaparèixer
4.
Per què la Lluna gira al voltant de la Terra?
Perquè vol anar a l’espai
Perquè la gravetat la manté allà
Perquè té ales
Perquè la Terra la empenta
5.
Com canvia la força de la gravetat segons la distància?
Com més lluny, més feble és
No canvia mai
Només funciona amb objectes petits
Com més lluny, més forta és
Galeria d'imatges

Respostes dels exercicis de comprensió lectora
Fonts consultades
- La llei de la gravetat - Ara Criatures(https://criatures.ara.cat/escola/recursos-didactics/llei-gravetat_1_4330075.html)
- Llei de la gravitació universal - Viquipèdia, l'enciclopèdia lliure(https://ca.wikipedia.org/wiki/Llei_de_la_gravitaci%C3%B3_universal)
- La gravitació universal | enciclopedia.cat(https://www.enciclopedia.cat/enciclopedia-tematica-proa/la-gravitacio-universal)
- Gravetat - Viquipèdia, l'enciclopèdia lliure(https://ca.wikipedia.org/wiki/Gravetat)